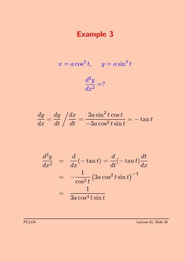
Lecture 01 - Slide 20