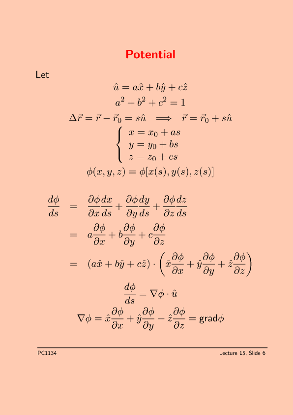
Lecture 15 - Slide 06